Accueil site MathGraph32 Images Activités Tableur Téléchargements Informations



Exercices et problèmes


Travaux numériques
>Développement et réduction 
 

Travaux numériques
  Développement et réduction

Travaux géométriques
  Premières démonstrations
  Triangles rectangles
  Théorème de Thalès
  Espace

Gestion de données, Fonction
  Vitesse moyenne
Rappels et exercices progressifs sur le développement et la réduction d'expressions.

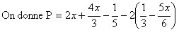
Exemple :

  1) Développer et réduire cette expression
  2) Calculer P pour x = -1, pour x = 0.5, pour x = 1/3

Télécharger la feuille d'exercices (document Word , 45 ko)

© Matabu
Tous droits réservés. Limitation à l'usage non commercial, privé ou scolaire.