Dentelle
I) Etude expérimentale
Construction du Pentagone initial Cliquer sur l'icône point libre puis placer deux points (centre du futur pentagone et un des sommets), nommer les respectivement A et B avec l'outil Nommer . Cliquer sur l'icône de la rotation puis sur le centre de la rotation (le point A), on obtient alors une boîte de dialogue pour indiquer l'angle de la rotation :
Taper 72° et valider (bouton OK). Cliquer maintenant sur le point B : l'image du point B apparaît. L'outil rotation étant toujours actif (avec le centre et l'angle mémorisés) cliquer sur l'image de B, continuer jusqu'à obtenir les 5 sommets du pentagone. Tracer le pentagone en cliquant sur l'icône polygone puis sur chacun des sommets, finir en cliquant avec le bouton droit de la souris.
Mesures et calcul Cliquer sur l'icône segment puis désigner les points A et B pour tracer le segment [AB]. Placer un point sur le segment [AB] avec l'icône point lié (cliquer sur cette icône puis sur le segment [AB]). Mesurer les longueurs BG et BA par le menu Calculs, Mesurer, longueur puis en cliquant sur le premier point puis le deuxième. Un message prévient que la longueur (BG puis BA) a bien été mesurée. Définir alors un nouveau calcul par le menu Calculs, Calcul algébrique dans R, Nouveau calcul, on obtient la boîte de dialogue suivante :
Nommer le calcul k et le définir par la formule : BG/BA (ou cliquer sur le bouton Liste des valeurs et choisir ces longueurs dans la liste).
Construction des deux images du pentagone par homothétie Cliquer sur l'icône homothétie puis sur le point B, dans la boîte de dialogue qui s'ouvre taper le rapport : k, puis cliquer sur le pentagone. On obtient alors la première image du pentagone (penta 1), procéder de même à partir du point A pour obtenir la deuxième image du pentagone (penta 2). Cliquer sur l'icône rotation puis sur le centre de rotation (le point A), taper 32° pour l'angle, valider et cliquer sur penta 2 : on obtient l'image penta 3 par rotation de penta 2. Les côtés en vis à vis de penta 1 et penta 3 sont parallèles. Effacer penta 2 (et ses sommets) avec la gomme .
Afficher la valeur de k Dans le menu Créer cliquer sur Affichage de valeur puis sur libre, une boîte de dialogue apparait :
Dans cette boîte, taper k pour la valeur à afficher et 3 pour le nombre de décimales. Dans le champ En-tête, taper : k = BG/BA =. En validant, on obtient la figure (ici animée par l'applet) :
En déplaçant le point G de manière à ce que les côtés en vis à vis de penta 2 et penta 3 se superposent, on obtient une valeur approchée de k soit : 0,382.
II) Détermination du rapport
D'après la figure :
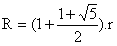
R = 2h + r
Dans le triangle AHG rectangle en H, on a :
h = r.cos 36° = 
Soit :
Et :
|
|
III) Dentelle
Créer un nouveau document par l'icône Nouvelle figure et placer deux points A et B. Construire le pentagone de centre A et dont un sommet est le point B comme au I) Définir un nouveau calcul par le menu Calculs, Calcul algébrique dans R, Nouveau calcul. Dans la boîte de dialogue obtenue, taper k pour le nom du calcul et (3 - rac(5))/2 pour la formule puis valider. On utilise ensuite les homothéties de centre A et B et de rapport k pour obtenir les petits pentagones et on applique une rotation de centre A et d'angle 36° au petit pentagone centré en A. Enfin on effectue les rotations successives de centre A et d'angle 72° pour obtenir les autres petits pentagones :
Pour finir, on peut colorier la surface des petits pentagones avec l'outil Surface , après avoir choisi la couleur et le style du remplissage dans la palette de droite puis effacer avec la l'outil gomme le pentagone initial.
|
|

|
|
|
|